생성형 AI와 새로운 패러다임
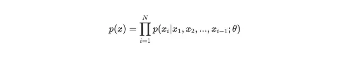
생성형 AI는 더 이상 연구실의 실험적 기술이 아니라, 산업과 사회 전반의 혁신을 주도하는 핵심 동력으로 자리매김했습니다. 현재까지는 Diffusion 모델이 이미지 생성 분야의 주류로 자리잡아 놀라운 성과를 보여주었지만 최근에는 또 다른 축이 주목받고 있습니다. 바로 자기회귀(Autoregressive, AR) 모델입니다. AR 모델은 이미 대규모 언어모델(LLM)을 통해 검증된 구조를 기반으로 이미지와 멀티모달 영역으로 확장되고 있습니다. 이는 단순히 새로운 모델의 등장 차원을 넘어 차세대 생성형 AI 패러다임의 변화를 알리는 신호라 할 수 있습니다. 특히 AR 모델은 텍스트·비전·오디오를 아우르는 통합적 생성 능력(multimodal generation)과 기업이 요구하는 효율성·고품질·구조 보존력을 동시에 제공할 수 있다는 점에서 전략적 의미가 큽니다. 이번 인사이트에서는 AR 모델의 기본 원리와 Diffusion 모델과의 차이 그리고 최신 연구 성과를 통해 생성형 AI의 미래 방향성을 짚어보고자 합니다.

















